,          
     (        )  
,   -   ,   . _
              
,             
    .     
,    ,  ,    ,   
   ,      
                    
   _.
     
 ,         ,    
,          ,      
.  ,   ,        
               
,    . ,    
          
    ,   .  
 :      ,      
,       ,          
 -   .         
   ,      
                
.
              .        
,                
,               .
     ,            
 ,    ,      ?
,  ,           ,
    ,    ?  ,  ,  
              
    ,     
     .       
      ,               
        ,         
  ,    ,    
. ,  ,        
    ,  .        
    ,      .
             ,
            
   :          
 .
            .    
 ,          ,    
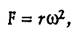
 r  ,   ,
      ,         ,    
,          ,      
.  ,   ,        
               
,    . ,    
          
    ,   .  
 :      ,      
,       ,          
 -   .         
   ,      
                
.
              .        
,                
,               .
     ,            
 ,    ,      ?
,  ,           ,
    ,    ?  ,  ,  
              
    ,     
     .       
      ,               
        ,         
  ,    ,    
. ,  ,        
    ,  .        
    ,      .
             ,
            
   :          
 .
            .    
 ,          ,    
 r  ,   ,   
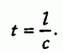
      (1)
       -      .
      ,         
 ,
 (1)
       -      .
      ,         
 ,  
      (2)
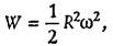
      R -  .
                
   F     ,   W  -
                   
.
     , ,      , ,  
  u,
 (2)
      R -  .
                
   F     ,   W  -
                   
.
     , ,      , ,  
  u,    
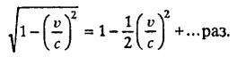
      (3)
       u       ,    
  .           r  =
R*,  " "
 (3)
       u       ,    
  .           r  =
R*,  " "    
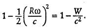
      (4)
       (4)  ,               
               
 .
           ,   -   
 (  300 ),      
    ,          ,  
   ,   0,99999999999997 .
       ,        
                 
  ,    0,9999995,        
 . ,      
         !        
   .        
          
    ,      
.            
 ,   (4),         
   ,     .   "
"           
,              ,      
    ,        
.
      ,    ,    
     ,   ,  -
      .
            ,   
     (.51).  l -  
     ,  ,     
,
 (4)
       (4)  ,               
               
 .
           ,   -   
 (  300 ),      
    ,          ,  
   ,   0,99999999999997 .
       ,        
                 
  ,    0,9999995,        
 . ,      
         !        
   .        
          
    ,      
.            
 ,   (4),         
   ,     .   "
"           
,              ,      
    ,        
.
      ,    ,    
     ,   ,  -
      .
            ,   
     (.51).  l -  
     ,  ,     
,  
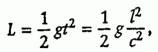
      (5)
         ,        g,  
 L,
 (5)
         ,        g,  
 L,       
      (6)
           .  ,  ,  
  ,
 (6)
           .  ,  ,  
  ,   
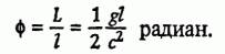
      (7)
         ,        l,      
 ,   (7)  g      
     .       
  ,   l       1000  .
   g     981 /2,    
= 3 * 10^10 /
 (7)
         ,        l,      
 ,   (7)  g      
     .       
  ,   l       1000  .
   g     981 /2,    
= 3 * 10^10 /  
      (8)
     ,             
.     g =  27000  /2,      ,
     ,  .   
 ,    ,      
,   1,75".        
           
  .    ,            
     .
              .  
 ,       ,      
,  ,        
,                  
            .        
       ,  
,                   
 .      ,    ,
 _          ,      
 _.  ,      
    ,          
   .          
      ,          
      .      ,
  ,  ,       ,  
    ,            
      g              
    ,          W.
,             
 ,   R.
 (8)
     ,             
.     g =  27000  /2,      ,
     ,  .   
 ,    ,      
,   1,75".        
           
  .    ,            
     .
              .  
 ,       ,      
,  ,        
,                  
            .        
       ,  
,                   
 .      ,    ,
 _          ,      
 _.  ,      
    ,          
   .          
      ,          
      .      ,
  ,  ,       ,  
    ,            
      g              
    ,          W.
,             
 ,   R.       
    
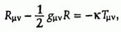
      (9)
      T   ,     
,   .
                       
          (9).        
,        ,   ,   ,   
          ,        
,             
   _     
   _.        
      .    
   _,          
  _,    -  _   ,   
 _,        .  
    (9)     ,      
            
.   ,      
   , , .   ,    ,
             
     .   
  .   ,  ""
       .
         ,       
  ,    ,     
 ,  ,       .  
  ,                
  ,    ,    , 
  -    ,          
 ,   .
         5
                            
           "   "  {,
  , -     -.  (.  )}
     , ,    
    .    .   
      ,            
.    , ,      ,  
   ,         ,      
.        ,  
  ,   .       ,
 , ,   ...
            :  ,
        -  .
                     -,
        .        
,         ,        
,         .  
    ,    -          
 .      - 
     .        
 ,         ,      ,
     .       
         .      
     .      
           
        .       :
 ,        
      ,       
  .          
   ,    ,      
  .    ,     
 ,       .  ,      
    ,             
      .  -    
,        ,      
 ,  ,      
    .      ,    
             -    ,
   ,        ,      
 -    .
           ,  . 
,      ,   -      ,
           .  
      :  , 
   .   !       
   ,     ,    
                 .
    :         
      !
     -  , -      ,      
   ,      .
 (9)
      T   ,     
,   .
                       
          (9).        
,        ,   ,   ,   
          ,        
,             
   _     
   _.        
      .    
   _,          
  _,    -  _   ,   
 _,        .  
    (9)     ,      
            
.   ,      
   , , .   ,    ,
             
     .   
  .   ,  ""
       .
         ,       
  ,    ,     
 ,  ,       .  
  ,                
  ,    ,    , 
  -    ,          
 ,   .
         5
                            
           "   "  {,
  , -     -.  (.  )}
     , ,    
    .    .   
      ,            
.    , ,      ,  
   ,         ,      
.        ,  
  ,   .       ,
 , ,   ...
            :  ,
        -  .
                     -,
        .        
,         ,        
,         .  
    ,    -          
 .      - 
     .        
 ,         ,      ,
     .       
         .      
     .      
           
        .       :
 ,        
      ,       
  .          
   ,    ,      
  .    ,     
 ,       .  ,      
    ,             
      .  -    
,        ,      
 ,  ,      
    .      ,    
             -    ,
   ,        ,      
 -    .
           ,  . 
,      ,   -      ,
           .  
      :  , 
   .   !       
   ,     ,    
                 .
    :         
      !
     -  , -      ,      
   ,      .
      .
     -    , -  , -  ,       
     .  ,    
   -  ,       
       .  -        
      .
            :      ,   
         ,      
!           
:       ,          
      ,    .
     -      ,  -      ,  ,  
 ,     ,   .
     - ! -   . -  ,  ,  
   ,    .  , !    ,
    ,           
   .            ,  
    ,      ,    
    . , ,       
 ,  , ,      ,  
   10000000000000000000000  ,        
    .        
  ,       .  ,   
  ,   .    ,   
         ,    ,    
         ,    
 . ,         
.
     -  , -          ,  -    
   ,    ,  ,  
 ,    ?
     -  , -  . -      ,  
   ,      -    ,
   ,      .  ,        
-      .      
,       .        
       (   
 , , ,         )    
   ,            ,
  ,    .    
        ,     
   , ,     ,    
    .          
 ,             -
       .  ,      .
 ,    .
                 ,      
  ,     ,
              .   
  ,        ,        
 ,   .
     -    , -     ,  -  
,     .
     - , -  , -      . , 
 ,     ,   
        .    
  .    ,       
,               
 ,   ,     ,     
      .    ,  
,          -    -  
   ,          
   .         
 ,   , ,    ,  ,  
,   ,       ,  
 .   ,     ,   
 ,   ,        
              .         
 ,       - ,  
      .       ,    
          .      
 ,    ,       
     .
     - , -     , -   
   .
     ,           ,  
          .      
 !     ,      ,  ,
   ,   ,      
   ,  ,         
.
     -     , -   ,  -    
    ,     ,  
,    .    
 ,    ,       
   ,      .
           ,    
    .
     -   , -  , -   
       .      
     ,       ,  
    .
              .        
,    ,           
       .    
,      .
     -          ? -
   .
     -   , -  . -      
  ,       ,    ,
, ,  ,      ,      
.        ,      
            ,  
      ,     
  .         ,
               
  ,      ,    
,        .    ,      
       .
     - , -   . -   ,  ,
     ,       ,      
  ,      ?
     -    , -  , -   
      .
     -  ,          
      ?
             .
                   
      .       
 ,  ,     ""     
.   ,       ,
         .
     -          ,  -        
, -     , , ,  
 ,   .
       ,        .
     -   ,      ,        
, -  , -          
.   ,     ,    
       .        
     ,       ,
    .
     -           ,      
  ? -   .
     - , , -  , -    
,     ,   .   ,  
 , ,     ,   
   ,    .  , 
     .  ,  
       -  ,      ,  
,       -     ,
    .
           ,     
        ,           
.    ,           ,  
   .      
       .      
  ,  ,           ,
 ,   ,           
,    ,          
    .
     -     , -    ,  -        
,           .
     -     ,   ? -  
,   .
     -   , -      .  -    
       ,     ,  
         .      
 ,        .
     -   ,        ,  -
  , -          
?
          .
     -    , -  , -  ,       
     .  ,    
   -  ,       
       .  -        
      .
            :      ,   
         ,      
!           
:       ,          
      ,    .
     -      ,  -      ,  ,  
 ,     ,   .
     - ! -   . -  ,  ,  
   ,    .  , !    ,
    ,           
   .            ,  
    ,      ,    
    . , ,       
 ,  , ,      ,  
   10000000000000000000000  ,        
    .        
  ,       .  ,   
  ,   .    ,   
         ,    ,    
         ,    
 . ,         
.
     -  , -          ,  -    
   ,    ,  ,  
 ,    ?
     -  , -  . -      ,  
   ,      -    ,
   ,      .  ,        
-      .      
,       .        
       (   
 , , ,         )    
   ,            ,
  ,    .    
        ,     
   , ,     ,    
    .          
 ,             -
       .  ,      .
 ,    .
                 ,      
  ,     ,
              .   
  ,        ,        
 ,   .
     -    , -     ,  -  
,     .
     - , -  , -      . , 
 ,     ,   
        .    
  .    ,       
,               
 ,   ,     ,     
      .    ,  
,          -    -  
   ,          
   .         
 ,   , ,    ,  ,  
,   ,       ,  
 .   ,     ,   
 ,   ,        
              .         
 ,       - ,  
      .       ,    
          .      
 ,    ,       
     .
     - , -     , -   
   .
     ,           ,  
          .      
 !     ,      ,  ,
   ,   ,      
   ,  ,         
.
     -     , -   ,  -    
    ,     ,  
,    .    
 ,    ,       
   ,      .
           ,    
    .
     -   , -  , -   
       .      
     ,       ,  
    .
              .        
,    ,           
       .    
,      .
     -          ? -
   .
     -   , -  . -      
  ,       ,    ,
, ,  ,      ,      
.        ,      
            ,  
      ,     
  .         ,
               
  ,      ,    
,        .    ,      
       .
     - , -   . -   ,  ,
     ,       ,      
  ,      ?
     -    , -  , -   
      .
     -  ,          
      ?
             .
                   
      .       
 ,  ,     ""     
.   ,       ,
         .
     -          ,  -        
, -     , , ,  
 ,   .
       ,        .
     -   ,      ,        
, -  , -          
.   ,     ,    
       .        
     ,       ,
    .
     -           ,      
  ? -   .
     - , , -  , -    
,     ,   .   ,  
 , ,     ,   
   ,    .  , 
     .  ,  
       -  ,      ,  
,       -     ,
    .
           ,     
        ,           
.    ,           ,  
   .      
       .      
  ,  ,           ,
 ,   ,           
,    ,          
    .
     -     , -    ,  -        
,           .
     -     ,   ? -  
,   .
     -   , -      .  -    
       ,     ,  
         .      
 ,        .
     -   ,        ,  -
  , -          
?
      -    ,    ,  -    ,   -      
   ,   ,  
  ?     :    
   .        ,  
,      ,      ,  
    . ,      ,
,         .    
,         .      
 ,   ,  ,  ,    
 ,  ,     
   . ,       -
    -  0,05  %-  ,
  ,      .  
         
,   15  %-  ,    
      . ,  
          
      ,         ,
     .  
   0,00000001 %  ,    
   _ _ .     
 (   )  ,     
  1 %  .
     -      ? -   .
     - , , -    ,  -      
.         .
           -
     ,          
     -    .  ,  
      .    ,  
?
     ,    ,        
     ,      ,  
      ,   
       .
     -  , -  ,  -          ,
   ,           
 .            
 ,              
     .           
 .
       ,    ,        
        .      ,  
,        .    
                 
     .
     -    ,    ,   
,  ,    ?  -    
  .
     -   ,   , -    ,
-   ,    ,    ,        
  -   .    
   ,      
    ,       ,  
 .
     -   ! -   . -    
      ,   ,  ,    
     !     !
     -    , -  . -    
.       ,   .
         .   .  ,
 ,    ,      
      .      ,
     ,            
 .
     -    ,    ,  -    ,   -      
   ,   ,  
  ?     :    
   .        ,  
,      ,      ,  
    . ,      ,
,         .    
,         .      
 ,   ,  ,  ,    
 ,  ,     
   . ,       -
    -  0,05  %-  ,
  ,      .  
         
,   15  %-  ,    
      . ,  
          
      ,         ,
     .  
   0,00000001 %  ,    
   _ _ .     
 (   )  ,     
  1 %  .
     -      ? -   .
     - , , -    ,  -      
.         .
           -
     ,          
     -    .  ,  
      .    ,  
?
     ,    ,        
     ,      ,  
      ,   
       .
     -  , -  ,  -          ,
   ,           
 .            
 ,              
     .           
 .
       ,    ,        
        .      ,  
,        .    
                 
     .
     -    ,    ,   
,  ,    ?  -    
  .
     -   ,   , -    ,
-   ,    ,    ,        
  -   .    
   ,      
    ,       ,  
 .
     -   ! -   . -    
      ,   ,  ,    
     !     !
     -    , -  . -    
.       ,   .
         .   .  ,
 ,    ,      
      .      ,
     ,            
 .
      -           ?  -    
 .      ,      .
         
    .        ,  
   ,  -    .
     -      !  -    ,    
 . -  ,    !
          ,    .
         6
                              
                  
,   ,     .
     -   , -  , - ,      
 ,       ,
         ,  
      ,        
          .    
,  ,  -      ,
          ,
   .
     ,    .        
   ,      
      :             
,      ,      
        .  ,
          
 -     ,    ,    
  .  ,        
  -     
-       ,        
-   .         
        ?
     -           ?  -    
 .      ,      .
         
    .        ,  
   ,  -    .
     -      !  -    ,    
 . -  ,    !
          ,    .
         6
                              
                  
,   ,     .
     -   , -  , - ,      
 ,       ,
         ,  
      ,        
          .    
,  ,  -      ,
          ,
   .
     ,    .        
   ,      
      :             
,      ,      
        .  ,
          
 -     ,    ,    
  .  ,        
  -     
-       ,        
-   .         
        ?
      ,
,    ,     ,      
         ,  ,    
   .
          precipitevol issimevolmente,   
   ,      .  ,
   , ,      ,    
   -          .
 ,   ,      
     ,     
 .           ,      
 ,          ,  
          ,   
 ,   .      
  ,            
                  ,        
.   ,   ,     
    ,      
 (     " ").
              :
     , Aiome prreemorrdialel
     All-containeeng Atome!
     Deessolved eento fragments exceedeengfy small
     Galaxies forrmeeng,
     Each wizprrimal energy!
     Ot rradioactif Atome!
     Ot all-containeeng Atome!
     O, Univairrsale Aiome -
     Worrk of Z'Lorrd!
     Z long evolution
     Tells of mightyfirreworrks
     Zat ended een ashes and smouldairreeng weesps.
     We stand on z'ceendairres
     Fadeengsuns confironteengus,
     Attempteeng to rremembairre
     Z'splendeurofz brigine,
     Q, Univairrsale Atome -
     Worrkof Z'Lorrd {*}
                  ,
,    ,     ,      
         ,  ,    
   .
          precipitevol issimevolmente,   
   ,      .  ,
   , ,      ,    
   -          .
 ,   ,      
     ,     
 .           ,      
 ,          ,  
          ,   
 ,   .      
  ,            
                  ,        
.   ,   ,     
    ,      
 (     " ").
              :
     , Aiome prreemorrdialel
     All-containeeng Atome!
     Deessolved eento fragments exceedeengfy small
     Galaxies forrmeeng,
     Each wizprrimal energy!
     Ot rradioactif Atome!
     Ot all-containeeng Atome!
     O, Univairrsale Aiome -
     Worrk of Z'Lorrd!
     Z long evolution
     Tells of mightyfirreworrks
     Zat ended een ashes and smouldairreeng weesps.
     We stand on z'ceendairres
     Fadeengsuns confironteengus,
     Attempteeng to rremembairre
     Z'splendeurofz brigine,
     Q, Univairrsale Atome -
     Worrkof Z'Lorrd {*}
      (,  ! {*}
      !
        ,
       ,
      -    !
     ,  !
      !
     ,   -
      !
      
         ,
         .
        ,
          ,
     ,  
       .
     ,   -
      !)
     {*    ,      
,            ,   
      ,    ,    
,  ,         .  (.
.)}
               ,      
   ,    (    )    
  ,          
 .    :
     Good Abbe, ourrunderrstandink
     It is same in many ways.
     Univerrse has been expandink
     Frrom the crradle of its days.
     Univerrse has been expandink
     Frrom the crradle of its days.
     You have told it gains in motion,
     Irregrret to disagrree,
     And we differr in ourr notion
     As to how it came to be.
     And we differr in ourr notion
     As to how it came to be.
     It was neutrron fluid-neverr
     Primal Atom, as you told.
     It is infinite, as everr
     It was infinite of old.
     It is infinite, as everr
     It was infinite of old.
     On a limitless pavilion
     In collapse, gas met its fate,
     Yearrs ago (some thousand million)
     Having come to densest state.
     Yearrs ago {some thousand million)
     Having come to densest state.
     All the Space was then rresplendent
     At that crrucialpoint in time.
     Light to matterr was trranscendent
     Much as meterr is, to rrhyme.
     Light to matterr was trranscendent
     Much as meterr is, to rrhyme.
     For each ton ofrradiation
     Then of matterr was an ounce,
     Till the impulse t 'warrd inflation
     In thatgrreatprrimeval bounce.
     Till the impulse t 'warrd inflation
     In that grreat prrimeval bounce.
     Light by then was slowly palink,
     Hundrred million yearrsgo by...
     Matterr, over lightprrevailink,
     Is in plentiful supply.
     Matterr, overlightpirevailink,
     Is in plentiful supply.
     Matterr then began condensink
     (Such are Jeans 'hypotheses).
     Giant, gaseous clouds dispensink
     Known asprrotogalaxies.
     Giant, gaseous clouds dispensink
     Known as prrotogalaxies.
     Prrotogalaxies were shatterred,
     Flying outward thrrough the night
     Starrs werreforrmedfrom them, andscattemd
     And the Space was filled with light.
     Starrs werreforrmedfrrom them, andscattered
     And the Space was filled with light
     Galaxies arre everrspinnink,
     Starrs will burrn to final sparrk.
     Till ourr univerrse is thinnink
     And is lifeless, cold and dank.
     Till ourr univerrse is thinnink
     And is lifeless, cold and darrk.
     (,  ! {*}
      !
        ,
       ,
      -    !
     ,  !
      !
     ,   -
      !
      
         ,
         .
        ,
          ,
     ,  
       .
     ,   -
      !)
     {*    ,      
,            ,   
      ,    ,    
,  ,         .  (.
.)}
               ,      
   ,    (    )    
  ,          
 .    :
     Good Abbe, ourrunderrstandink
     It is same in many ways.
     Univerrse has been expandink
     Frrom the crradle of its days.
     Univerrse has been expandink
     Frrom the crradle of its days.
     You have told it gains in motion,
     Irregrret to disagrree,
     And we differr in ourr notion
     As to how it came to be.
     And we differr in ourr notion
     As to how it came to be.
     It was neutrron fluid-neverr
     Primal Atom, as you told.
     It is infinite, as everr
     It was infinite of old.
     It is infinite, as everr
     It was infinite of old.
     On a limitless pavilion
     In collapse, gas met its fate,
     Yearrs ago (some thousand million)
     Having come to densest state.
     Yearrs ago {some thousand million)
     Having come to densest state.
     All the Space was then rresplendent
     At that crrucialpoint in time.
     Light to matterr was trranscendent
     Much as meterr is, to rrhyme.
     Light to matterr was trranscendent
     Much as meterr is, to rrhyme.
     For each ton ofrradiation
     Then of matterr was an ounce,
     Till the impulse t 'warrd inflation
     In thatgrreatprrimeval bounce.
     Till the impulse t 'warrd inflation
     In that grreat prrimeval bounce.
     Light by then was slowly palink,
     Hundrred million yearrsgo by...
     Matterr, over lightprrevailink,
     Is in plentiful supply.
     Matterr, overlightpirevailink,
     Is in plentiful supply.
     Matterr then began condensink
     (Such are Jeans 'hypotheses).
     Giant, gaseous clouds dispensink
     Known asprrotogalaxies.
     Giant, gaseous clouds dispensink
     Known as prrotogalaxies.
     Prrotogalaxies were shatterred,
     Flying outward thrrough the night
     Starrs werreforrmedfrom them, andscattemd
     And the Space was filled with light.
     Starrs werreforrmedfrrom them, andscattered
     And the Space was filled with light
     Galaxies arre everrspinnink,
     Starrs will burrn to final sparrk.
     Till ourr univerrse is thinnink
     And is lifeless, cold and dank.
     Till ourr univerrse is thinnink
     And is lifeless, cold and darrk.
      ( ,  
       .
      
       .
      
       .
       ,      .
      ,     .
          
       ,    .
          
       ,    .
        ,
        ,   .
       
        .
       
        .
       
          ,
      - (    )
          .
      - (    )
          .
          
          .
        ,
        .
        ,
        .
        
       ,
           -
       .
           -
       .
         ,
          ...
     ( ,  
       .
      
       .
      
       .
       ,      .
      ,     .
          
       ,    .
          
       ,    .
        ,
        ,   .
       
        .
       
        .
       
          ,
      - (    )
          .
      - (    )
          .
          
          .
        ,
        .
        ,
        .
        
       ,
           -
       .
           -
       .
         ,
          ...