.   
                           
                          
----------------------------------------------------------------------------
         
         
      .
     .,  , 1993
     OCR  .. mailto:bmn@lib.ru
----------------------------------------------------------------------------
                                
      1938          
(    -)  ,          
            
   .  ,       
         
         -  . .
.  {   (  ) C.  G.  H.
Tompkins             
:     ,      G    
  h.        ,  
        .},      ,
  .
           "Harper's Magazine" ,    
 ,         
 .             
 -    .           
      .
                
 ,       .  -
                
    ,       
( " ").     .   
       ,   
  :
     - ,    , ?        
                .    
 -  "Discovery",   
 .
        .           .    
: "        .  
".     "Discovery"     
  ,       
 .          
,      ,        
      ,        
    .     " 
  "       1940 .  
    16 .       -
"   ".      1944 .   
    10 .            
  ( ),   -    .
              
           
      ,    
              .
,           ,  
            .   
     .
            .      
 ,    "Discovery",       
       ,         
  .        ,  
           
  .              
 .       .
                                                                
                            , ,  , 
                                       
                                  
             ,      
  ;         
  ,   .    
      ,            
           
           .  
               
           
    ,      ""         
,        ,
  ,         
         
    - ,   .
            ,      
 ,  ,     ,  
,        .    
  ,       ,   
    ,            
,       ,    
()   ,     ,    
            ,
     .    ,    
                 
              
 .
      ,       ,  
    ,  ,    ,
      ,               
 .  ,      ("")  
           (
            ),    
   ,        
, ,  ,      ,
    . .
     ,                
         
 ,    .
                               
                                   -----
        .  
       ", !" (", 
 --!", . 75)   ", !" ("  
", . 80)   " "     . 
  175  " "  . .   . .
                                  .
         1
                             
     
 -  ,      ,
    ,          
 .     ,    ,
            .    
    ,          ,  
       .        
            .  
              
,   .     
    ,     ,    ,  
 -    !    -
! -  .         
      .        
  ,            
  .        
     .        !
    ,         
  -   !    ,  
,  ?    :        
.    ,   !      
 ,   .       
   (          ),    
      ,  
     .      
      ,            -
    -    ,      
     ,        
            .  ,  
, ,          300000    
,  (..     )  
        .      
   ,        ,  
  ,  ,     ,  
  .               
            -  ,  
      ,    , 
      .
          ,  ,    
   ,   ,  
    ,    .    
                  ,
  .    ,     
  ,         , 
,        ,    ,    
 .          
 ,     .     
      .        ,  
    :  ,        
       ,   
    .      ,  
, -, - ,      .  
    ,          ,    
   :         
,    ,     .    
    ,     , 
     -          ,    
    ,          
.
     -  ,     ,    
, -   , -      
:      ,            
.
               -  ,      ,
    ,          
 .     ,    ,
            .    
    ,          ,  
       .        
            .  
              
,   .     
    ,     ,    ,  
 -    !    -
! -  .         
      .        
  ,            
  .        
     .        !
    ,         
  -   !    ,  
,  ?    :        
.    ,   !      
 ,   .       
   (          ),    
      ,  
     .      
      ,            -
    -    ,      
     ,        
            .  ,  
, ,          300000    
,  (..     )  
        .      
   ,        ,  
  ,  ,     ,  
  .               
            -  ,  
      ,    , 
      .
          ,  ,    
   ,   ,  
    ,    .    
                  ,
  .    ,     
  ,         , 
,        ,    ,    
 .          
 ,     .     
      .        ,  
    :  ,        
       ,   
    .      ,  
, -, - ,      .  
    ,          ,    
   :         
,    ,     .    
    ,     , 
     -          ,    
    ,          
.
     -  ,     ,    
, -   , -      
:      ,            
.
      ,        ,
   ,         ,  
, ,   ,  -.    
 ,      ,    
  .  ,              
,    - ,   
,      .    ,          
              ,       
        .
                  ,    
      .    ,       
    ,           
,   -   .
     -   ,  -        ,  -  ,
, ,   !       "".
,    ,     ,      
 !
     ,        ,
   ,         ,  
, ,   ,  -.    
 ,      ,    
  .  ,              
,    - ,   
,      .    ,          
              ,       
        .
                  ,    
      .    ,       
    ,           
,   -   .
     -   ,  -        ,  -  ,
, ,   !       "".
,    ,     ,      
 !
      .      ,      
        .      
    ,          .
        ,          
     ,           
. ,         .      
,              
  .       ,  
             -  
. ,   ,      
                 
.         
   ,   ,    ,    ,
  ,    ,       
  .
     -  ,   ,       ,
-        :
     -  , ! -  . -    ,      
                  
?
     -       ?  -      
 . -            .  
           ,      
         ,    
,       ,    ,      ,
   !
     -       , -   ,
-   -.     .
     -   ? -       . -
   , , ,     ,  
     .     ?
     -       ,  -    
 .
     -   ,         ?
    ,    ,      
  ,            
. ,    .
            .
                 :    
.
     -  , -   , -    -
 ,   .      ,
  !
     -   ,   ?  -      .
   ,            
 .  ,     ,    ,  
     .
     - ! -     . -     ?
     - ,   -   ,     
 .       ?  ,    ?  -  
     .
          ,       
,       .    ,
-,            ,
  .         ,  
       .  
       ,    ,      
 ,   .     . 
   ,  , ,      
    .   ,    .
     -  ,   -  , -  
  ,             -
  .
         . ,    ,
      .      
, ,    ,    , 
"  ".           .  
       .
     -     ,         ,  -
 , -           
?  ,           , 
   ...
     -   , -       .  -  
,        -    .  
     .        
 ,                ,
,   ,   ,    
.   ,               
 !    ,      , - 
  ,             
.         
 ,            ,  
,             
.
     -     , -  ,  , -  
       ,    
       ,        
    ,  ,    ,  
 :       "  !"
               
,          ,          
 ,    .
     -      , -  , -       
,    ,       
 ,   ?
     -    , , -    .
     - ! -   . -     
 ,         .  
,        .      -
?
     - , -  ,      ,    
 . -          
.
     -  ! -      ,  ,  
        -  .  -      ,      ...  
    ,     ?
     -  !     ,     ,    
  ,      .
     -  ,  -      ,  -  ,   
 ,     .
     -          ,    
 ,   ? -     .
     -   ,   ,  -    ,  -
 ,   .      
 ,     ,      .      
   ,          -
"    (,        )  
".      - ?     
 -  ?
     - -, -    ,     
,  .
      -          ,  ,
,  ,      ,     
  ,     .    
 ,   .    
 :
     -  , !   ,     .
           .
         2
        ,    
                                  
       !
                      
        ,      
 .          
  ,           
      .   ,
-,                  
  ,    " ":
     "_ _    ,    
     ,        "  
"_,   _         
,     - ,   
  " { .   
. - .         ..  .  
... - .: , 1989. - . 30. (. .)}.
     -        
     ,         
    -     
  .    XX   ,     ,
             
,      ,           
        .    
               
 :    ,  ,  
            
 ;        , 
     ,      .  ,
           
  ,          .      
,       ,  
   ,   , 
           ,      
               
  ,           
.      ,        
            ,
          .
           ,      
   ,    ,  
            
 .           
      , 
          
            
   ,     ,    
        ,        
          ,    
,       ,        ,
 .      ,      
              
.  ,      -            
,     ,     
     ,       
.   ,     ,  ,  
 ,            ,  
 .
     ,   ,  ,      ,  
   ,       
   ,  ,    ,  ,
, ,    .       _
 _.  ,    .
     ,       ,      
    :          
            300000  /  (    
     )      ,    
 .
     -      ,  -    ,  -         
 ,    ,    
?
                 (,  
,  3/4  )   ,      
   ,  3/4  .
        ,          
  ,            ,  
 .     , ,   
    ,     
   ,    ,  -        
  .  ,       ,    
           
.
       ,          ,
                
   .
      u1  u2 -       ,
                  
   .      ,      
        .      
    ,          .
        ,          
     ,           
. ,         .      
,              
  .       ,  
             -  
. ,   ,      
                 
.         
   ,   ,    ,    ,
  ,    ,       
  .
     -  ,   ,       ,
-        :
     -  , ! -  . -    ,      
                  
?
     -       ?  -      
 . -            .  
           ,      
         ,    
,       ,    ,      ,
   !
     -       , -   ,
-   -.     .
     -   ? -       . -
   , , ,     ,  
     .     ?
     -       ,  -    
 .
     -   ,         ?
    ,    ,      
  ,            
. ,    .
            .
                 :    
.
     -  , -   , -    -
 ,   .      ,
  !
     -   ,   ?  -      .
   ,            
 .  ,     ,    ,  
     .
     - ! -     . -     ?
     - ,   -   ,     
 .       ?  ,    ?  -  
     .
          ,       
,       .    ,
-,            ,
  .         ,  
       .  
       ,    ,      
 ,   .     . 
   ,  , ,      
    .   ,    .
     -  ,   -  , -  
  ,             -
  .
         . ,    ,
      .      
, ,    ,    , 
"  ".           .  
       .
     -     ,         ,  -
 , -           
?  ,           , 
   ...
     -   , -       .  -  
,        -    .  
     .        
 ,                ,
,   ,   ,    
.   ,               
 !    ,      , - 
  ,             
.         
 ,            ,  
,             
.
     -     , -  ,  , -  
       ,    
       ,        
    ,  ,    ,  
 :       "  !"
               
,          ,          
 ,    .
     -      , -  , -       
,    ,       
 ,   ?
     -    , , -    .
     - ! -   . -     
 ,         .  
,        .      -
?
     - , -  ,      ,    
 . -          
.
     -  ! -      ,  ,  
        -  .  -      ,      ...  
    ,     ?
     -  !     ,     ,    
  ,      .
     -  ,  -      ,  -  ,   
 ,     .
     -          ,    
 ,   ? -     .
     -   ,   ,  -    ,  -
 ,   .      
 ,     ,      .      
   ,          -
"    (,        )  
".      - ?     
 -  ?
     - -, -    ,     
,  .
      -          ,  ,
,  ,      ,     
  ,     .    
 ,   .    
 :
     -  , !   ,     .
           .
         2
        ,    
                                  
       !
                      
        ,      
 .          
  ,           
      .   ,
-,                  
  ,    " ":
     "_ _    ,    
     ,        "  
"_,   _         
,     - ,   
  " { .   
. - .         ..  .  
... - .: , 1989. - . 30. (. .)}.
     -        
     ,         
    -     
  .    XX   ,     ,
             
,      ,           
        .    
               
 :    ,  ,  
            
 ;        , 
     ,      .  ,
           
  ,          .      
,       ,  
   ,   , 
           ,      
               
  ,           
.      ,        
            ,
          .
           ,      
   ,    ,  
            
 .           
      , 
          
            
   ,     ,    
        ,        
          ,    
,       ,        ,
 .      ,      
              
.  ,      -            
,     ,     
     ,       
.   ,     ,  ,  
 ,            ,  
 .
     ,   ,  ,      ,  
   ,       
   ,  ,    ,  ,
, ,    .       _
 _.  ,    .
     ,       ,      
    :          
            300000  /  (    
     )      ,    
 .
     -      ,  -    ,  -         
 ,    ,    
?
                 (,  
,  3/4  )   ,      
   ,  3/4  .
        ,          
  ,            ,  
 .     , ,   
    ,     
   ,    ,  -        
  .  ,       ,    
           
.
       ,          ,
                
   .
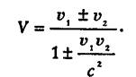
      u1  u2 -       ,    
  
      (1)
         ,         
 (    "         "),    
    (1)        
     .    u1, 
u2   ,              
. ,        ,        
 , u1 = (3/4)c  u2 = (3/4)c       
  F = (24/25) , ,    ,
  .
      ,           ,
    (1)  ,             ,
  ,   . ,     
,       .
     ,    ,   (1)  
    ,      
      .
 (1)
         ,         
 (    "         "),    
    (1)        
     .    u1, 
u2   ,              
. ,        ,        
 , u1 = (3/4)c  u2 = (3/4)c       
  F = (24/25) , ,    ,
  .
      ,           ,
    (1)  ,             ,
  ,   . ,     
,       .
     ,    ,   (1)  
    ,      
      .
      ,     
        .    
         __,      
 .   :
     -            ,
           , -
 ,      .   
 ,      ,  ,  ,
  ,  ,     ,    ,    
 .   ,       
,     ?  ,    ,  
   ,           
,       ,      ,    
            ,   ,      
        ,          
 .
              
 ,    ,     
     ,      
        
    ,  ,   
,   -   .
           ,     
   ,          .      (
,    )          
   ,     ,    
    .
      ,           ,
               ,
            
.            
 ,       (      
 ),                
          __
   ,    .
                  
      ?    
  ,      ,      
  ( ),       
,          
.   ,       ,
        ,    
  ? ,         
             
    .   ,  
      , ,     
   ,             
,   ,     ( 
      ),   
     .    ,        
                 
                  ""
(,    )  .
      ,      ,  
                
. ,       ,      
 ,         ,      
   ?     .   
(   )         ,   
    ,         
 ,              
    (  )    
 .   ,   , 
    ,     ,         
    2  2     
,   1  1.
     ,        2,  
1B    ,    1B,    
      .  ,      
 1  ,        
 ,   2     ,      
 1    .
            1      ,    
 2,        ,      ,
.         
 ,        ,    
     ,           
      .    ,  ,      ,  
           ,  
    ,                 
.
         ,     
   ,   ,     
 -     ,     ,    ,
""    .
                 ,      
     ,      ,    
    -__    ,  _
               ,
          
,              
 _.
          ,        ,  
  ,       ,      ,  ,
  -  ,          
             -,            
 ,    ?  
            :  _
,            
,             
  _.
       ""        ""
,  ,         
,   ""   "" ( ).
             :     
                   
    ,   "    ,  
   - ,  " (),  
           
             "-
",         .  
            
             ,    
 .
      ,       l      
 t      ,    
      l'        
  t'             
       .      ,
    ,            
-,          ,         
  ,     ,
  .    ,          ,
,  "",        
  "",  "  " -  ,
     ,     
 , .. 0,00000000003 .
     ,                  
          
 , ,  ,   
  ,        
.
                   ,  ,
 ,     ,    
    ,    ,       
 , -       ,    ,    
 ,          ,  
   ,      .
          
, ,            -
        (  
             
 ,       ).
         ,      
   ,         
       .    ,  
          ,
         ,     
        .    
         __,      
 .   :
     -            ,
           , -
 ,      .   
 ,      ,  ,  ,
  ,  ,     ,    ,    
 .   ,       
,     ?  ,    ,  
   ,           
,       ,      ,    
            ,   ,      
        ,          
 .
              
 ,    ,     
     ,      
        
    ,  ,   
,   -   .
           ,     
   ,          .      (
,    )          
   ,     ,    
    .
      ,           ,
               ,
            
.            
 ,       (      
 ),                
          __
   ,    .
                  
      ?    
  ,      ,      
  ( ),       
,          
.   ,       ,
        ,    
  ? ,         
             
    .   ,  
      , ,     
   ,             
,   ,     ( 
      ),   
     .    ,        
                 
                  ""
(,    )  .
      ,      ,  
                
. ,       ,      
 ,         ,      
   ?     .   
(   )         ,   
    ,         
 ,              
    (  )    
 .   ,   , 
    ,     ,         
    2  2     
,   1  1.
     ,        2,  
1B    ,    1B,    
      .  ,      
 1  ,        
 ,   2     ,      
 1    .
            1      ,    
 2,        ,      ,
.         
 ,        ,    
     ,           
      .    ,  ,      ,  
           ,  
    ,                 
.
         ,     
   ,   ,     
 -     ,     ,    ,
""    .
                 ,      
     ,      ,    
    -__    ,  _
               ,
          
,              
 _.
          ,        ,  
  ,       ,      ,  ,
  -  ,          
             -,            
 ,    ?  
            :  _
,            
,             
  _.
       ""        ""
,  ,         
,   ""   "" ( ).
             :     
                   
    ,   "    ,  
   - ,  " (),  
           
             "-
",         .  
            
             ,    
 .
      ,       l      
 t      ,    
      l'        
  t'             
       .      ,
    ,            
-,          ,         
  ,     ,
  .    ,          ,
,  "",        
  "",  "  " -  ,
     ,     
 , .. 0,00000000003 .
     ,                  
          
 , ,  ,   
  ,        
.
                   ,  ,
 ,     ,    
    ,    ,       
 , -       ,    ,    
 ,          ,  
   ,      .
          
, ,            -
        (  
             
 ,       ).
         ,      
   ,         
       .    ,  
          ,